- Burada yamuğun çevresini ve alanını hesaplayabilirsiniz.
- C v D değerleriniz eşitse alan hesabı doğru çıkacaktır.
- C v D değerleriniz farklıysa alan sonucunda doğru değeri görüntüleyemez ama her durumda A,B,C,D değerleri ile çevre metrajı doğru alırsınız.
- Eğer A,B,C,D değerlerinin farklı olduğu bir yamuğun alanını hesap edecekseniz köşeden, köşeye ikiye bölerek iki farklı çeşitkenar üçgen elde edeceksiniz. Üçgenlerin her bir alanını hesap edip birbirine toplayarak toplam alanınızı bulursunuz. Buradan çeşitkenar üçgen hesaplamasına erişebilirsiniz. https://www.tasevyapim.com/hizli-ve-pratik-hesapla
- Gerekli verileri girdikten sonra "Hesapla" tuşunu tıklayın.
Yamuk
Yamuk Nedir?
Yamuk, iki kenarı paralel olan dörtgendir. Paralel olmayan kenarlarına yanal kenarlar denir.
Yamuğun Çevresi Nasıl Hesaplanır?
a ve b paralel kenarlar ve c ve d yanal kenarlar olmak üzere; Çevre = a+b+c+d formülüyle hesaplanır.
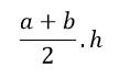
Yamuğun Alanı Nasıl Hesaplanır?
a
ve
b
paralel kenarlar ve
h
yamuğun yüksekliği olmak üzere;
formülüyle hesaplanır.
🎯 Rastgele İlanlar
İçeriği faydalı buldunuz mu?
Paylaşmak güzeldir, desteğinizle daha büyük farklar yaratabiliriz. 🙌🌟
Destekleriniz, köy okullarının fiziki koşullarını iyileştirmek ve çocuklara daha güzel bir öğrenim ortamı sunmak için kullanılacaktır. 🏫💙
Alıcı Adı: Fesih Biçer
TL IBAN: TR22 0001 0000 6258 1964 6750 02











