- Burada kare tabanlı piramitin alanını ve hacmini hesaplayabilirsiniz.
- Yanal alanlarını hesaplamak için Üçgen formüllerini kullanabilirsiniz. https://www.tasevyapim.com/hizli-ve-pratik-hesapla
- Gerekli verileri girdikten sonra "Hesapla" tuşunu tıklayın.
Piramit
Piramit Nedir?
Piramit, tabanı çokgensel bölge (kare, dikdörtgen, beşgen vs.) olan, yanal yüzeyleri üstte ortak bir noktada birleşen üçgenlerden oluşan bir geometrik cisimdir.
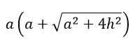
Kare Tabanlı Piramitin Alanı Nasıl Hesaplanır?
a
piramitin tabanının bir kenarının uzunluk değerleri ve
h
piramitin yüksekliği olmak üzere;
formülüyle hesaplanır.
Piramitin Hacmi Nasıl Hesaplanır?
a
ve
b
piramitin taban uzunluk değerleri ve
h
piramitin yüksekliği olmak üzere;
formülüyle hesaplanır.
🎯 Rastgele İlanlar
İçeriği faydalı buldunuz mu?
Paylaşmak güzeldir, desteğinizle daha büyük farklar yaratabiliriz. 🙌🌟
Destekleriniz, köy okullarının fiziki koşullarını iyileştirmek ve çocuklara daha güzel bir öğrenim ortamı sunmak için kullanılacaktır. 🏫💙
Alıcı Adı: Fesih Biçer
TL IBAN: TR22 0001 0000 6258 1964 6750 02











