- Burada kürenin alanını ve hacmini hesaplayabilirsiniz.
- Gerekli verileri girdikten sonra "Hesapla" tuşunu tıklayın.
Küre
Küre Nedir?
Bütün noktaları merkezden aynı uzaklıkta bulunan bir yüzeyle sınırlı cisim.
Kürenin Alanı Nasıl Hesaplanır?
R, kürenin yarıçapı olmak üzere;
Alan = 4.π.r2
formülüyle hesaplanır. Yani kürenin alanı, dairenin alanının 4 katıdır.
Dairenin çevresi ve alan hesabı için tıklayın.
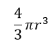
Kürenin Hacmi Nasıl Hesaplanır?
R, kürenin yarıçapı olmak üzere;
formülüyle hesaplanır.
🎯 Rastgele İlanlar
İçeriği faydalı buldunuz mu?
Paylaşmak güzeldir, desteğinizle daha büyük farklar yaratabiliriz. 🙌🌟
Destekleriniz, köy okullarının fiziki koşullarını iyileştirmek ve çocuklara daha güzel bir öğrenim ortamı sunmak için kullanılacaktır. 🏫💙
Alıcı Adı: Fesih Biçer
TL IBAN: TR22 0001 0000 6258 1964 6750 02











