- Burada Kesik Koninin alanını ve hacmini hesaplayabilirsiniz.
- Gerekli verileri girdikten sonra "Hesapla" tuşunu tıklayın.
Kesik Koni
Kesik Koni Nedir?
Kesik koni, üst tarafı tabana paralel bir düzlemde kesilmiş konidir.
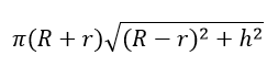
Kesik Koninin Alanı Nasıl Hesaplanır?
R
kesik koninin taban dairesinin yarı çapı,
r
tavan dairesinin yarı çapı ve
h
koninin yüksekliği olmak üzere;
formülüyle taban hariç yüzey alanı hesaplanır.
Kesik koninin taban alanı dahil yüzey alanını hesaplamak için;
formülü kullanılır.
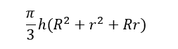
Koninin Hacmi Nasıl Hesaplanır?
R
kesik koninin taban dairesinin yarı çapı,
r
tavan dairesinin yarı çapı ve
h
koninin yüksekliği olmak üzere;
formülüyle hesaplanır.
🎯 Rastgele İlanlar
İçeriği faydalı buldunuz mu?
Paylaşmak güzeldir, desteğinizle daha büyük farklar yaratabiliriz. 🙌🌟
Destekleriniz, köy okullarının fiziki koşullarını iyileştirmek ve çocuklara daha güzel bir öğrenim ortamı sunmak için kullanılacaktır. 🏫💙
Alıcı Adı: Fesih Biçer
TL IBAN: TR22 0001 0000 6258 1964 6750 02











