- Burada Eşkenar üçgenin çevresini ve alanını hesaplayabilirsiniz.
- Gerekli verileri girdikten sonra "Hesapla" tuşunu tıklayın.
Eşkenar Üçgen
Eşkenar Üçgen Nedir?
Eşkenar Üçgen, tüm kenarları birbirine eşit uzunlukta ve iç açılarının her biri 60 derece olan üçgendir.
Eşkenar Üçgenin Çevresi Nasıl Hesaplanır?
a, üçgenin kenar uzunluğu olmak üzere;
Çevre = 3a
formülüyle hesaplanır.
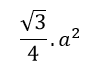
Eşkenar Üçgenin Alanı Nasıl Hesaplanır?
a, üçgenin kenar uzunluğu olmak üzere;
formülüyle hesaplanır.
🎯 Rastgele İlanlar
İçeriği faydalı buldunuz mu?
Paylaşmak güzeldir, desteğinizle daha büyük farklar yaratabiliriz. 🙌🌟
Destekleriniz, köy okullarının fiziki koşullarını iyileştirmek ve çocuklara daha güzel bir öğrenim ortamı sunmak için kullanılacaktır. 🏫💙
Alıcı Adı: Fesih Biçer
TL IBAN: TR22 0001 0000 6258 1964 6750 02











