- Burada elipsin çevresini ve alanını hesaplayabilirsinz.
- Gerekli verileri girdikten sonra "Hesapla" tuşunu tıklayın.
Elips
Elips Nedir?
Elips, bir koninin bir düzlem tarafından kesilmesi ile elde edilen düzlemsel, ikinci dereceden, kapalı eğridir. Bu ifade aşağıdaki şekilde gösterilmektedir.
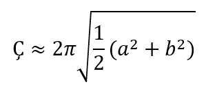
Elipsin Çevresi Nasıl Hesaplanır?
Elipsin çevresini hesaplamak için bir kaç yaklaşım bulunmaktadır. Burada kullanılan çevre hesaplama yaklaşımı bunlardan en çok bilinen ve en basit olanlarından biridir. Bu formül ile hesaplanan değer, b değeri a değerinin 3 katından daha uzun olmaması şartıyla gerçek değerden %5'e kadar farklı olabilir.
Elipsin kısa yarı çapı
a
ve uzun yarı çapı
b
olmak üzere;
formülüyle hesaplanır.
Elipsin Alanı Nasıl Hesaplanır?
Elipsin kısa yarı çapı
a
ve uzun yarı çapı
b
olmak üzere;
formülüyle hesaplanır.
🎯 Rastgele İlanlar
İçeriği faydalı buldunuz mu?
Paylaşmak güzeldir, desteğinizle daha büyük farklar yaratabiliriz. 🙌🌟
Destekleriniz, köy okullarının fiziki koşullarını iyileştirmek ve çocuklara daha güzel bir öğrenim ortamı sunmak için kullanılacaktır. 🏫💙
Alıcı Adı: Fesih Biçer
TL IBAN: TR22 0001 0000 6258 1964 6750 02











